平衡電阻的目的是為了減小運放輸入偏置電流在電阻上形成的靜態輸入電壓而帶來誤差詳細看書(減少失調電壓)。當運放的輸入偏置電流較小,或信號較大,其影響可以忽略時,可以不用平衡電阻。
R2=R1//Rf--------------------平衡電阻的計算式,反相臂上的電阻的并聯=同相臂的電阻
R2=R1//Rf


運放平衡電阻的理解
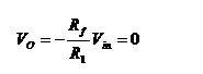
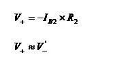
若運放為理想運放,輸入為0時,則:


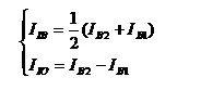
但實際運放有失調電壓(VIO),失調電流(IIO),輸入偏置電流(IIB)。依據失調電流,輸入偏置電流的定義,有:


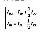
解方程組,得:


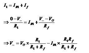
在反相端用KCL,有:


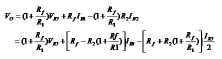
考慮到失調電壓,實際反相端電壓為:


而:


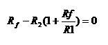
將所有參數代入,解得:


當R2=R1//Rf時,


此時由輸入偏置電流IIB產生的失調電壓為0。
運放輸入端所接電阻要平衡,目的是使運放的偏置電流不會產生附加的失調電壓。但有些電路對失調電壓要求并不高。例如交流音頻放大器,有些運放偏置電流很小,即使輸入端電阻不平衡也不會對失調電壓產生什么影響,這些電路就可以不要求輸入端電阻平衡。尤其是現在基于CMOS工藝的運放,輸入偏置電流都是幾個pA,加不加平衡電阻的影響就微乎其微了


烜芯微專業制造二極管,三極管,MOS管,橋堆等20年,工廠直銷省20%,4000家電路電器生產企業選用,專業的工程師幫您穩定好每一批產品,如果您有遇到什么需要幫助解決的,可以點擊右邊的工程師,或者點擊銷售經理給您精準的報價以及產品介紹


烜芯微專業制造二極管,三極管,MOS管,橋堆等20年,工廠直銷省20%,4000家電路電器生產企業選用,專業的工程師幫您穩定好每一批產品,如果您有遇到什么需要幫助解決的,可以點擊右邊的工程師,或者點擊銷售經理給您精準的報價以及產品介紹

